Saudi Arabia | Dubai | UAE | Abu Dhabi | Riyadh | Qatar | Dammam | Makkah | Bahrain | Sharjah | Jeddah | Oman
FPSC | PPSC | SPSC | KPPSC | AJKPSC | PPSC | Join Pak Navy | Join Pak Army | PAF | FIA | Police | Rangers
Medical | Bank | Teaching | Engineering | Data Entry | PHP | Latest Posts
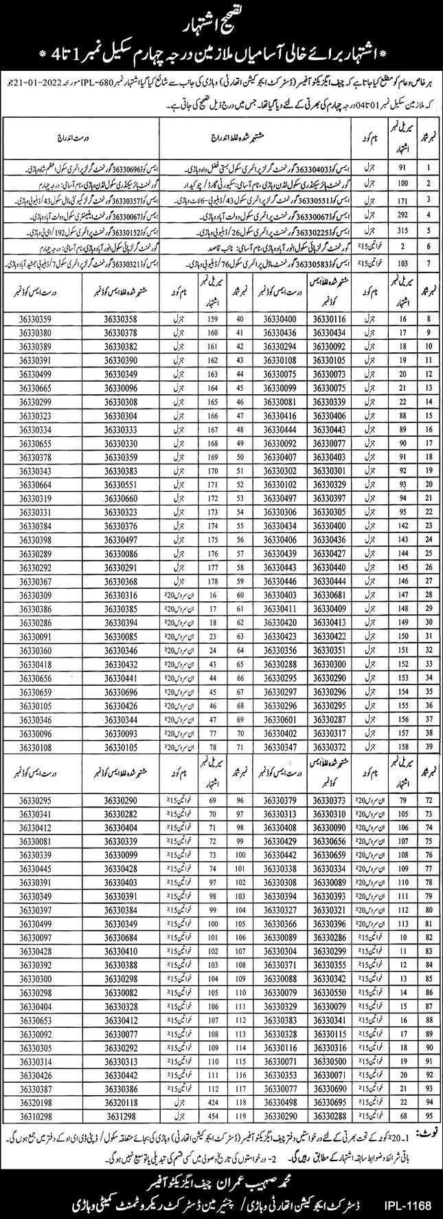
District Education Authority Class IV Jobs 2022 Corrigendum
or as per paper ad
Latest District Education Authority DEA Education Posts Vehari 2025
District Education Authority is looking for candidates for following posts as per job advertisement published in daily Express Newspaper of February 3, 2022 for location Vehari Punjab Pakistan:
Lab Attendant
Khakroob
Chowkidar
Naib Qasid
Class IV
Mali
Sweeper
Balawi and Security Guard
Middle, Primary and Matric etc. educational qualification will be preferred.
Latest Government jobs in District Education Authority in Education and others can be applied till 10 February 2022 or as per closing date in newspaper ad. Read complete ad online to know how to apply on latest District Education Authority job opportunities. Disabled quota is available.
For more jobs register with Jobz.pk.
Expired ad not to apply for, archived only for information.
District Education Authority Class IV Jobs 2022 Corrigendum
Enlarge Job Ad

Original Source: https://www.express.com.pk/epaper/Index.aspx?Issue=NP_MUX&Page=Classified_PageC007&Date=20220203&Pageno=7
How to Apply on District Education Authority DEA Job Advertisement
Apply as per details in job advertisement. Login to view further details of how to apply via https://www.jobz.pk online.
Note: Beware of Fraudulent Recruiting Activities. If an employer asks to pay money for any purpose, do not pay at all and report us via contact us form. Apply as per instuctions & dates mentioned in official job ad. Govt jobs may not be applied online here. Human typing error is possible. Error & omissions excepted.
Vacancies in District Education Authority DEA Advertisement February 2022
Jobs in Vehari
Todays New Jobs in Vehari
Related Jobs
Register to View, Join & Communicate with Members at Jobz.pk
Register to Post your CV - It only takes couple of minutes to join as freelancer










Be first to give comments on this job and win