Saudi Arabia | Dubai | UAE | Abu Dhabi | Riyadh | Qatar | Dammam | Makkah | Bahrain | Sharjah | Jeddah | Oman
FPSC | PPSC | SPSC | KPPSC | AJKPSC | PPSC | Join Pak Navy | Join Pak Army | PAF | FIA | Police | Rangers
Medical | Bank | Teaching | Engineering | Data Entry | PHP | Latest Posts
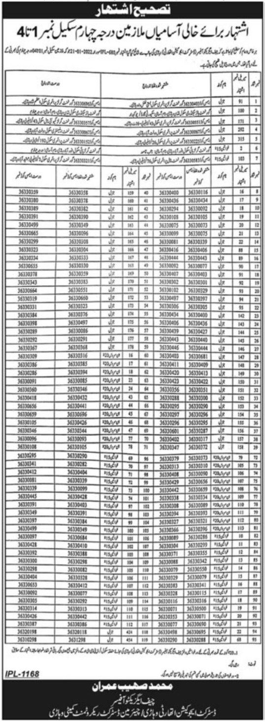
District Education Authority Vehari Jobs 2022 Corrigendum
or as per paper ad
Latest District Education Authority DEA Education Posts Vehari 2025
District Education Authority invites applications for job positions advertised in daily Khabrain dated 3 February 2022 for following vacancies in Vehari Punjab Pakistan.
Security Guard
Chowkidar
Lab Attendant
Balawi
Class IV
Mali
Sweeper
Khakroob and Naib Qasid
Educational qualifications required Middle, Primary and Matric etc.
District Education Authority latest Government Education jobs and others can be applied till 10 February 2022 or as per closing date in newspaper ad. Read complete ad online to know how to apply on latest District Education Authority job opportunities. Quota for disabled persons.
For more jobs register with Jobz.pk.
Expired ad not to apply for, archived only for information.
District Education Authority Vehari Jobs 2022 Corrigendum
Enlarge Job Ad

Original Source: http://epaper.dailykhabrain.com.pk/epaper?station_id=9&page_id=156127
How to Apply on District Education Authority DEA Job Advertisement
Apply as per details in job advertisement. Login to view further details of how to apply via https://www.jobz.pk online.
Note: Beware of Fraudulent Recruiting Activities. If an employer asks to pay money for any purpose, do not pay at all and report us via contact us form. Apply as per instuctions & dates mentioned in official job ad. Govt jobs may not be applied online here. Human typing error is possible. Error & omissions excepted.
Vacancies in District Education Authority DEA Advertisement February 2022
Jobs in Vehari
Todays New Jobs in Vehari
Related Jobs
Register to View, Join & Communicate with Members at Jobz.pk
Register to Post your CV - It only takes couple of minutes to join as freelancer










Be first to give comments on this job and win